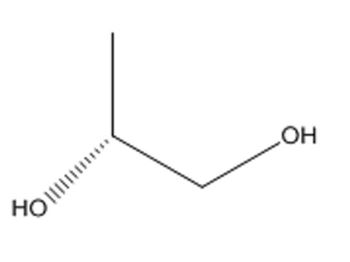
Products Home > Products Product name CAS NO Chemical structure purpose (R, R) - (-) - N, n '- bis (3,5-di-tert-butylsalicylidene) - 1,2-cyclohexanediamine 135616-40-9 chiral intermediates (s, s) - (+) - N, n '- bis (3,5-di-tert-butylsalicylidene) - 1,2-cyclohexanediamine 135616-36-3 chiral intermediates (R, R) - (-) - N, n '- bis (3,5-di-tert-butylsalicylidene) - 1,2-cyclohexanediamine cobalt (II) 176763-62-5 Chiral catalyst (1s, 2S) - (+) - 1,2-cyclohexanediamine-n, n '- bis (3,5-di-tert-butylsalicylidene) cobalt 188264-84-8 Chiral catalyst (R) - propylene oxide 15448-47-2 intermediate of tenofovir dipivoxil, intermediate of new drug for liver cancer (S) - propylene oxide 16088-62-3 a new intermediate of liver cancer medicine and the intermediate of Jiale musk (R) - 1,2-propanediol 4254-14-2 intermediate of tenofovir dipivoxil, intermediate of new drug for liver cancer S-1,2-propanediol 4254-15-3 pharmaceutical intermediates S-epichlorohydrin 67843-74-7 pharmaceutical intermediates 1 2 next page Copyright © 2008-2017 Huibo biology. All rights reserved.