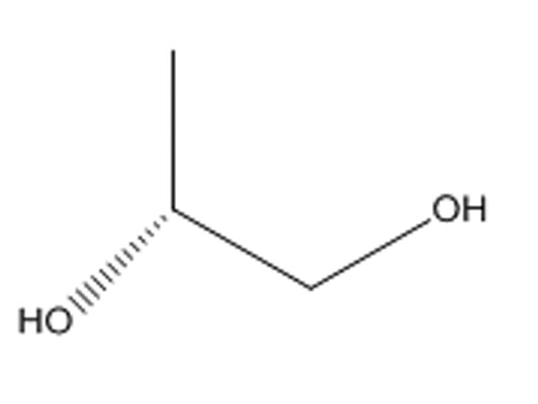
Products Home > (R) - 1,2-propanediol (R) - 1,2-propanediol Application: intermediate of tenofovir dipivoxil, intermediate of new drug for liver cancer Last:(S) - propylene oxide Next:S-1,2-propanediol Copyright © 2008-2017 Huibo biology. All rights reserved.